3.复数的运算

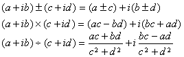
[代数式运算]

[三角式运算]

r1=1时,得,这个公式叫做德·莫弗公式.

[指数式运算]