九、阶乘、排列与组合

1. 阶乘

[阶乘的定义] n为自然数,则

称为n的阶乘.并且规定0!=1.又定义

[斯特林公式]

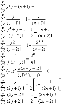
[阶乘有限和公式]