| 第三节 多组资料的比较 | 《预防医学》 |
第三节 多组资料的比较H检验(Kruskal-Wallis法)是用于完全随机设计的多个样本比较的非参数法。其具体步骤见例21.3。 例21.3 某地监测大气中SO2的日均浓度,按不同功能区设置采样点,结果见表21-4“浓度”栏所示,问各功能区SO2日均浓度有无差别? 表21-4 某地1990年1月份SO2日均浓度(μg/m3)
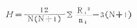
(一)建立假设 H0:四个功能区SO2日均浓度总体分布相同 H1:四个功能区SO2日均浓度总体分布不同或不全相同 α=0.05 (二)编秩 先将各组数据由小到大排列,再将各组数据由小到大统一编秩,不同组的相同数据取其平均秩次。如本例有2个630,分别在第(5)、(7)栏,其平均秩次为(13+14)/2=13.5。 (三)求各组秩和(Ri) 分别将各组秩次相加得Ri (四)计算统计量H值 按式(21.4)计算。式中ni为各组观察值个数,N=Σni
本例
(五)确定P值,作出推论 若组数K=3,每组例数≤5,可查附表21-3“秩和检验用H界值表”得出P值;若超出附表21-3的范围,可按v=k-1查x2界值表得出P值。本例k=4,超出附表21-3范围,按v=4-1=3查x2界值表,x20.01(3)=11.34,P<0.01,按α=0.05检验水准拒绝H0,可认为四种功能区SO2日均浓度有差别。
| |||||||||||||||||||||||||||||||||||||||||||||||||||||||||||||||||||||||||||
返回目录 |