¶þ¡¢¶à±äÁ¿º¯ÊýµÄ΢·Ö

[Æ«µ¼Êý¼°Æä¼¸ºÎÒâÒåÉè¶þÔªº¯Êý

u=f(x,y)

µ±±äÁ¿xÓÐÒ»¸ö¸Ä±äÁ¿¦¤x¶ø±äÁ¿y±£³Ö²»±äʱ,µÃµ½Ò»¸ö¸Ä±äÁ¿

¦¤u=f(x+¦¤x,y)£­f(x,y)

Èç¹ûµ±¦¤x¡ú0ʱ,¼«ÏÞ

=

´æÔÚ,ÄÇÄ©Õâ¸ö¼«ÏÞ³ÆÎªº¯Êýu=f(x,y)¹ØÓÚ±äÁ¿xµÄÆ«µ¼Êý,¼Ç×÷»ò,Ò²¼Ç×÷»ò,¼´

=====

ÀàËÆµØ,¿ÉÒÔ¶¨Òå¶þÔªº¯Êýu=f(x,y)¹ØÓÚ±äÁ¿yµÄÆ«µ¼ÊýΪ

=====

Æ«µ¼Êý¿ÉÒÔ°´ÕÕµ¥±äÁ¿º¯ÊýµÄ΢·Ö·¨ÔòÇó³ö,Ö»Ðë¶ÔËùÂÛ±äÁ¿Çóµ¼Êý,ÆäÓà±äÁ¿¶¼¿´×÷³£Êý.

Æ«µ¼ÊýµÄ¼¸ºÎÒâÒåÈçÏÂ:

¶þÔªº¯Êýu=f(x,y)±íʾһÇúÃæ,ͨ¹ýÇúÃæÉÏÒ»µãM(x,y,u)×÷һƽÐÐÓÚOxuÆ½ÃæµÄÆ½Ãæ,ÓëÇúÃæÓÐÒ»Ìõ½»Ïß,¾ÍÊÇÕâÌõÇúÏßÔڸõãµÄÇÐÏßÓëxÖáÕýÏò¼Ð½ÇµÄÕýÇÐ,¼´=.ͬÑù,ÓÐ= (ͼ5.5).

ͼ5.5

Æ«µ¼ÊýµÄ¶¨Òå²»ÄÑÍÆ¹ãµ½¶à±äÁ¿º¯Êýu=f(x1,x2,¡­,xn)µÄÇéÐÎ.

[ƫ΢·Ö¶à±äÁ¿º¯Êýu=f(x1,x2,¡­,xn)¶ÔÆäÖÐÒ»¸ö±äÁ¿(ÀýÈçx1 )µÄƫ΢·ÖΪ

Ò²¿É¼Ç×÷.

[¿É΢º¯ÊýÓëȫ΢·ÖÈôº¯Êýu=f(x,y)µÄÈ«¸Ä±äÁ¿¿ÉдΪ

=+

ʽÖÐA,BÓ릤x,¦¤yÎÞ¹Ø,,Ôò³Æº¯Êýu=f(x,y)ÔÚµã(x,y)¿É΢·Ö(»ò¿É΢),Õâʱº¯Êýu=f(x,y)µÄÆ«µ¼Êý,Ò»¶¨´æÔÚ,¶øÇÒ

=A, =B

¸Ä±äÁ¿¦¤uµÄÏßÐÔÖ÷²¿

=+dy

³ÆÎªº¯Êýu=f(x,y)µÄȫ΢·Ö,¼Ç×÷

du=+dy                                    (1)

º¯ÊýÔÚÒ»µã¿É΢µÄ³ä·ÖÌõ¼þ:Èç¹ûÔÚµã(x,y)º¯Êýu=f(x,y)µÄÆ«µ¼Êý´æÔÚ¶øÇÒÁ¬Ðø,ÄÇÄ©º¯ÊýÔڸõãÊÇ¿É΢µÄ.

¹«Ê½(1)¾ßÓÐÒ»½×΢·ÖµÄ²»±äÐÔ,¼´µ±×Ô±äÁ¿x,yÓÖÊÇÁíÍâÁ½¸ö×Ô±äÁ¿t,sµÄº¯Êýʱ,ÉÏÃæµÄ¹«Ê½ÈÔÈ»³ÉÁ¢.

ÉÏÊö½á¹û²»ÄÑÍÆ¹ãµ½¶à±äÁ¿º¯Êýu=f(x1,x2,¡­,xn)µÄÇéÐÎ.

×¢Òâ,ÔÚÒ»¸öÒÑÖªµã,Æ«µ¼ÊýµÄ´æÔÚÒ»°ã˵À´»¹²»ÄÜÈ·¶¨Î¢·ÖµÄ´æÔÚ.

[¸´ºÏº¯ÊýµÄ΢·Ö·¨ÓëÈ«µ¼Êý]

(1)ã Éèu=f(x,y),x=(t,s),y=(t,s),Ôò

=+

=+

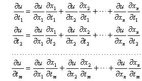
(2)ã Éèu=f(x1,x2,¡­,xn),¶øx1,x2,¡­,xnÓÖ¶¼ÊÇt1,t2,¡­,tmµÄº¯Êý,Ôò

(3)ã Éèu=f(x,y,z),¶øy=(x,t),z=(x,t),Ôò

=

 

=

(4)ã Éèu=f(x1,x2,¡­,xn), x1= x1(t), x2= x2(t), ,Ôòº¯Êýu=f(x1,x2,)µÄÈ«µ¼ÊýΪ

[Æë´Îº¯ÊýÓëÅ·À­¹«Ê½Èç¹ûº¯Êýf(x,y,z)ºãµÈµØÂú×ãÏÂÁйØÏµÊ½ 

f(tx,ty,tz)=f(x,y,z)

Ôò³Æf(x,y,z)ÊÇÒ»¸ök´ÎµÄÆë´Îº¯Êý.¶ÔÓÚÕâÖÖº¯Êý,Ö»ÒªËü¿É΢,¾ÍÓÐ

   (Å·À­¹«Ê½)

×¢Òâ,Æë´Îº¯ÊýµÄ´ÎÊýk¿ÉÒÔÊÇÈÎÒâʵÊý,ÀýÈç,º¯Êý

¾ÍÊÇ×Ô±äÁ¿x¼°yµÄ¦Ð´ÎÆë´Îº¯Êý.

[Òþº¯ÊýµÄ΢·Ö·¨ÉèF(x1,x2,¡­,xn,u)=0,Ôò

¡­¡­¡­¡­¡­¡­¡­¡­¡­

(²Î¿¼±¾½Ú,ËÄ).

[¸ß½×Æ«µ¼ÊýÓë»ìºÏÆ«µ¼Êýº¯Êýu=f(x1,x2,¡­,xn)µÄ¶þ½×Æ«µ¼ÊýΪ,,¡­,ºÍ,,,¡­,ºóÕß³ÆÎª»ìºÏÆ«µ¼Êý.Èý½×Æ«µ¼ÊýΪ,,¡­, ,,,¡­¡£ÀàËÆµØ¿É¶¨Òå¸ü¸ß½×µÄÆ«µ¼Êý.

¹ØÓÚº¯Êý³Ë»ýµÄ»ìºÏÆ«µ¼ÊýÓÐÏÂÃæ¹«Ê½:Éèu,¶¼ÊÇx1,x2,¡­,xnµÄº¯Êý,Ôò

×¢Òâ,»ìºÏÆ«µ¼ÊýÒ»°ãÓëÇ󵼵ĴÎÐòÓйØ,µ«ÊÇ,Èç¹ûÁ½¸öͬ½×µÄÆ«µ¼Êý,Ö»ÊÇÇ󵼵ĴÎÐò²»Í¬,ÄÇĩֻҪÕâÁ½¸öÆ«µ¼Êý¶¼Á¬Ðø,ËüÃǾÍÒ»¶¨±Ë´ËÏàµÈ.ÀýÈç,Èç¹ûÔÚijһµã(x,y)º¯ÊýÓë¶¼Á¬Ðø,ÄÇĩһ¶¨ÓÐ

(x,y)= (x,y)

[¸ß½×ȫ΢·Ö¶þÔªº¯Êýu=f(x,y)µÄ¶þ½×ȫ΢·ÖΪ

d2u=d(du)=

»ò¼ò¼Ç×÷

d2u=

ʽÖÐÆ«µ¼Êý·ûºÅ,¾­Æ½·½ºó³öÏÖ,,,ËüÃÇÔÙ×÷Óõ½º¯Êýu=f(x,y)ÉÏ,ÒÔÏÂÀàͬ.

¶þÔªº¯Êýu=f(x,y)µÄn½×ȫ΢·ÖΪ

dnu=

¶à±äÁ¿º¯Êýu=f(x1,x2,¡­,xm)µÄn½×ȫ΢·ÖΪ

dnu=

[Æ«µ¼ÊýµÄ²î·ÖÐÎʽ]

(±íÖÐhΪxÖá·½Ïò²½³¤,lΪyÖá·½Ïò²½³¤)

ͼ  ʾ

²î ·Ö ¹« ʽ

       

   

     

       

 

 

    

   

  

    

   

 

     ͼ  ʾ

²î ·Ö ¹« ʽ