三、函数行列式(或雅可比式)及其性质

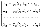
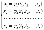
设有n个自变量的n个函数

(1)

它们定义在某一n维区域D,并关于自变量有连续偏导数,则由这些偏导数组成的行列式

称为函数组(1)的函数行列式或雅可比式。记作

函数行列式具有与普通导数相似的一系列性质.

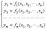
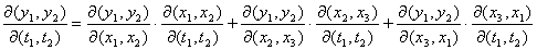
(1) 除函数组(1),再取在区域P中有定义且有连续偏导数的函数组

假设当点(t1,t2,)P中变动时,对应点(x1,x2,)并不越出区域D,于是就可以通过x1,x2, y1,y2,看成是t1,t2,的复合函数.这时有

= (2)

它是一元的复合函数的微分法则

y=f(x),x==

的推广。

(2) 特别是,如果令t1=y1,t2=y2,=yn(换句话说,由新变量x1,x2,又回到旧变量y1,y2, ),则由(2)式得到

=1

它是一元函数的反函数微分法则

y=f(x), x==

的推广。

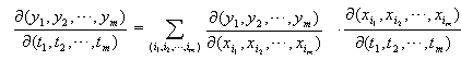
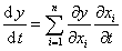
(3) 设有n个自变量x1,x2,mm<n)个函数y1,y2,

式中x1,x2,又是m个自变量t1,t2,的函数:

假设它们都有连续偏导数,那末y1,y2,作为t1,t2,的函数的函数行列式的表达式为

等式右边的和式是从n个标号内每次取m个的一切可能组合而取遍的。

m=1,上面的公式就是普通的复合函数的微分公式

的推广.特别当n=3,m=2,

(4) 设有2n个自变量的n个方程所组成的方程组

Fi(x1,x2,;y1,y2,)=0 (i=1,2,…,n)

假定

0

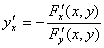
y1,y2,看成由这方程组所确定的x1,x2,的函数,这时有

它是由F(x,y)=0所确定的隐函数y=f(x)的导数公式

的推广.

(5) 函数行列式可作为面积(体积)的伸缩系数.

假定函数

u=u(x,y), = (x,y)

xy平面的某个区域上连续,并且有连续的偏导数,又假定在这个区域上

0

那末有 dud=dxdy

对更高维的空间有类似的表达式.

直角坐标与球面坐标的变换

x=rsincos,y=rsinsin,z=rcos

的函数行列式为

==

这时 dxdydz=drdd= drdd