§2 解析几何中的基本计算
| 
 图 形  | 
 计 算 公 式  | 
| 
 [两点间的距离] 
  | 
 
  平面上	 空间中	  | 
| 
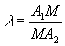
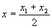
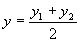
 [分线段为定比的分点坐标] 
 
  M(x, 
        y, z)为A1A2的分点,分割比例  | 
       平面上	 
 
 
 空间中	 λ>0称为内分, 	  | 
| 
       图 形  | 
       计 算 公 式  | 
| 
 [平面上三角形的面积] 
  | 
        S△= 当S△=0时,A1, A2, A3三点共线  | 
| 
 [平面上多角形的面积] 
 A1, A2,…,An构成逆时针回路  | 
 
 S= 当S =0时,A1, A2,…,An n个点共线  | 
| 
 [空间中四面体的体积] 
  这里  | 
       V= 当V =0时,M, A1, A2, A3四个点共面  | 
| 
 [二面角的角度] 
 M0, M1, A1, A2为空间中不共面的四点,q 为二面角A1-M0M1-A2 (0£q£180°) 
 
  | 
 
 
 
 当M0为原点, 
 当M0为原点时, 
 
  | 
| 
       图 形  | 
       计 算 公 式  | 
| 
 [质点系的重心坐标] 
  | 
       重心G的坐标 
 式中∑表示对i从1到n求和  |