§2 一阶偏微分方程
一、 柯西-柯娃列夫斯卡娅定理
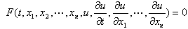
[一阶偏微分方程的通解] 一阶偏微分方程的一般形式*是
![]()
或
,其中![]()
如解出p1,可得:
p1 = f (x1 , x2 ,…, xn , u , p2 ,…, pn )
当方程的解包含某些“任意元素”(指函数),如果适当选取“任意元素”时,可得方程的任意解(某些“奇异解”除外),则称这样的解为通解.
在偏微分方程的研究中,重点在于确定方程在一些附加条件(即定解条件)下的解,而不在于求通解.
[一阶方程的柯西问题]

称为柯西问题,式中
为已知函数,对柯西问题有如下的存在惟一性定理.
[柯西-柯娃列夫斯卡娅定理]
设 f
( x1 , x2
xn , u , p2
pn ) 在点
( x10
, x20
xn0 , u0 , p20
pn0 ) 的某一邻域内解析,而
在点(
x20
xn0 ) 的某邻域内解析,则柯西问题在点
( x10
xn0 ) 的某一邻域内存在着惟一的解析解.
这个定理应用的局限性较大,因它要求f及初始条件都是解析函数,一般的定解问题未必能满足这种条件.
对高阶方程也有类似定理.