2. 一致收敛判别法
[柯西准则] 级数
在区间[a,b]上一致收敛的充分必要条件是:
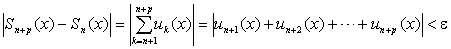
对任意给定的ε>0,都存在一个只与ε有关而与x无关的自然数N=N(ε),使得当n
N时,不等式
![]()
对一切自然数p以及区间[a,b]上一切点x,都成立.
[外尔斯特拉斯判别法] 对于级数
,若有收敛的数项级数
存在,使得对区间[a,b]上一切点x,不等式
![]()
成立,则级数
在区间[a,b]上绝对且一致收敛
[阿贝耳判别法] 若级数
在区间[a,b]上一致收敛,函数序列{
(x)}对每个x是单调序列,而且对任意的x与n都是有界的:
![]()
则级数
![]()
(x)
在区间[a,b]上一致收敛.
[狄利克莱判别法] 若级数
的部分和对任意的x与n都是有界的:
![]()
函数序列{vn(x)}(对每个x)是在区间[a,b]上一致趋向于零的单调序列.则级数
![]()
(x)
在区间[a,b]上一致收敛.