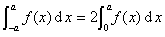
[定积分的性质]
		![]()
		
		
		![]()
		![]()
[分部积分法]
![]()
式中![]()
[变量替换法] 
  设函数
在区间[
]上有连续的导数
,同时函数
在区间
上连续,并且
从
单调地变到
,则
 	 ![]()
[利用函数奇偶性求积法]
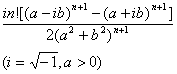
  	若
为偶函数,则![]()
	若
为奇函数,则![]()
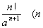
[利用积分对参数求导法] 设f(x,t)在有界区域
上连续,并且存在连续偏导数
,则当
时,有
  		![]()
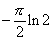
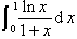
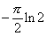
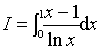
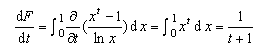
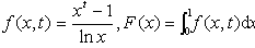
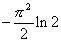
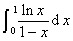
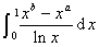
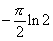
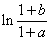
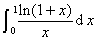
	例 计算积分![]()
	解 设![]()
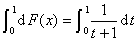
则  
.因
![]()
	![]()
 所以︳
.
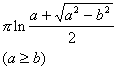
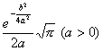
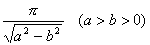
[定积分表]
|  
       定 积 分  | 
     
       定 积 分 值  | 
  
|  
       
  | 
     
       
  | 
  
|  
       
  | 
     
       
  | 
  
|  
       
  | 
     
       
  | 
  
|  
       定 积 分  | 
     
       定 积 分 值  | 
  
|  
       
  | 
     
       
  | 
  
|  
       
  | 
     
       
  | 
  
|  
       
  | 
     
       
  | 
  
|  
       
  | 
     
       
  | 
  
|  
       
  | 
     
       
  | 
  
|  
       
  | 
     
       
  | 
  
|  
       
  | 
     
       
  | 
  
|  
       
  | 
     
       
  | 
  
|  
       
  | 
     
       
  | 
  
|  
       
  | 
     
       
  | 
  
|  
       
  | 
     
       
  | 
  
|  
       
  | 
     
       
  | 
  
|  
       
  | 
     
       
  | 
  
|  
       
  | 
     
       
  | 
  
|  
       
  | 
     
       
  | 
  
|  
       
 
 
  | 
     
       
  | 
  
|  
       定 积 分  | 
     
       定 积 分 值  | 
  
|  
       
  | 
     
       
  | 
  
|  
       
  | 
     
       
  | 
  
|  
       
  | 
     
       
  | 
  
|  
       
  | 
     
       
  | 
  
|  
       
  | 
     
       
  | 
  
|  
       
  | 
     
       
  | 
  
|  
       
  | 
     
       
  | 
  
|  
       
  | 
     
       
  | 
  
|  
       
  | 
     
       
  | 
  
|  
       
  | 
     
       
  | 
  
|  
       
  | 
     
       
  | 
  
|  
       
  | 
     
       
  | 
  
|  
       
  | 
     
       
  | 
  
|  
       
  | 
     
       
  | 
  
|  
       
  | 
     
       
  | 
  
|  
       
  | 
     
       
  | 
  
|  
       
  | 
     
       
  | 
  
|  
       
  | 
     
       
  | 
  
|  
       
  | 
     
       
  | 
  
|  
       定 积 分  | 
     
       定 积 分 值  | 
  
|  
       
  | 
     
       
  | 
  
|  
       
  | 
     
       
  | 
  
|  
       
  | 
     
       
  | 
  
|  
       
  | 
     
       
  | 
  
|  
       
  | 
     
       
  | 
  
|  
       
  | 
     
       
  | 
  
|  
       
  | 
     
       
  | 
  
|  
       
  | 
     
       
  | 
  
|  
       
  | 
     
       
  | 
  
|  
       
  | 
     
       
  | 
  
|  
       
  | 
     
       
  | 
  
|  
       
  | 
     
       
  | 
  
|  
       
  | 
     
       
  | 
  
|  
       
  | 
     
       
  | 
  
|  
       
  | 
     
       
  | 
  
|  
       
  | 
     
       
  | 
  
|  
       
 
  | 
     
       
  | 
  
|  
       
  | 
     
       
  | 
  
|  
       
  | 
     
       
  | 
  
|  
       
  | 
     
       
 
  | 
  
|  
       定 积 分  | 
     
       定 积 分 值  | 
  
|  
       
  | 
     
       
  | 
  
|  
       
  | 
     
       
  | 
  
|  
       
  | 
     
       
  | 
  
|  
       
  | 
     
       
  | 
  
|  
       
  | 
     
       
  | 
  
|  
       
  | 
     
       
  | 
  
|  
       
  | 
     
       
  | 
  
|  
       
  | 
     
       
  | 
  
|  
       
  | 
     
       
  | 
  
|  
       
  | 
     
       
  | 
  
|  
       
  | 
     
       
  | 
  
|  
       
  | 
     
       
  | 
  
|  
       
  | 
     
       
  | 
  
|  
       
  | 
     
       
  |